IT之家 4 月 9 日消息,工信部 4 月 7 日发布 2025 年度乘用车企业平均燃料消耗量与新能源汽车积分情况。
其中,企业平均燃料消耗量按车型对应产量 / 进口量加权计算得出。2025 年度企业平均燃料消耗量积分核算中,对标准配置制动能量回收系统、高效空调且具有循环外节能效果的车型,其燃料消耗量可相应减免一定额度(可累加)。
此外,核算年度进口量 2000 辆以下的未获境外乘用车生产企业授权的进口乘用车供应企业,暂不实施积分核算。
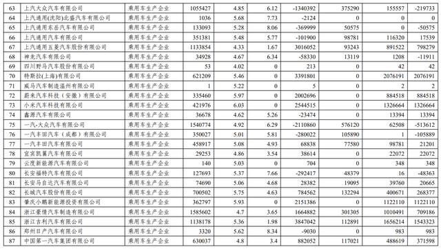
IT之家附具体各企业情况如下(表中企业按拼音字母排序):
其中,比亚迪汽车工业有限公司的 2025 年平均燃料消耗量积分、新能源汽车积分依然一骑绝尘,分别达到了 10730341(2024 年积分 13136644)和 3864310(2024 年积分 3838187)。
此外,理想汽车、长安汽车、东风汽车集团、广汽埃安、零跑汽车、赛力斯汽车、上汽通用五菱、特斯拉(上海)、蔚来、小米汽车、小鹏、豪情汽车、吉利汽车均实现了超百万的平均燃料消耗量积分,相比 2024 年的百万积分榜新增了小米汽车。
而在新能源汽车积分方面,比亚迪、特斯拉、吉利汽车排名前三,其余超百万积分的车企包括小米汽车、零跑汽车、小鹏、长安汽车。




